• Предмет: Физика
  • Автор: Olinaa
  • Вопрос задан 11 лет назад

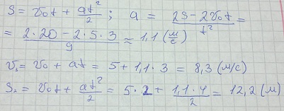
При равноускоренном движении с начальной скоростью 5 м/с тело за 3 с прошло 20м. С каким ускорением двигалось тело? Какова его скорость в конце третьей секунды? Какой путь оно прошло за вторую секунду?

Ответы

Ответ дал: ФИЗМАТик
0
Решение на фото, успехов :) 
Приложения:
Вас заинтересует