• Предмет: Алгебра
  • Автор: Нотя52
  • Вопрос задан 11 лет назад

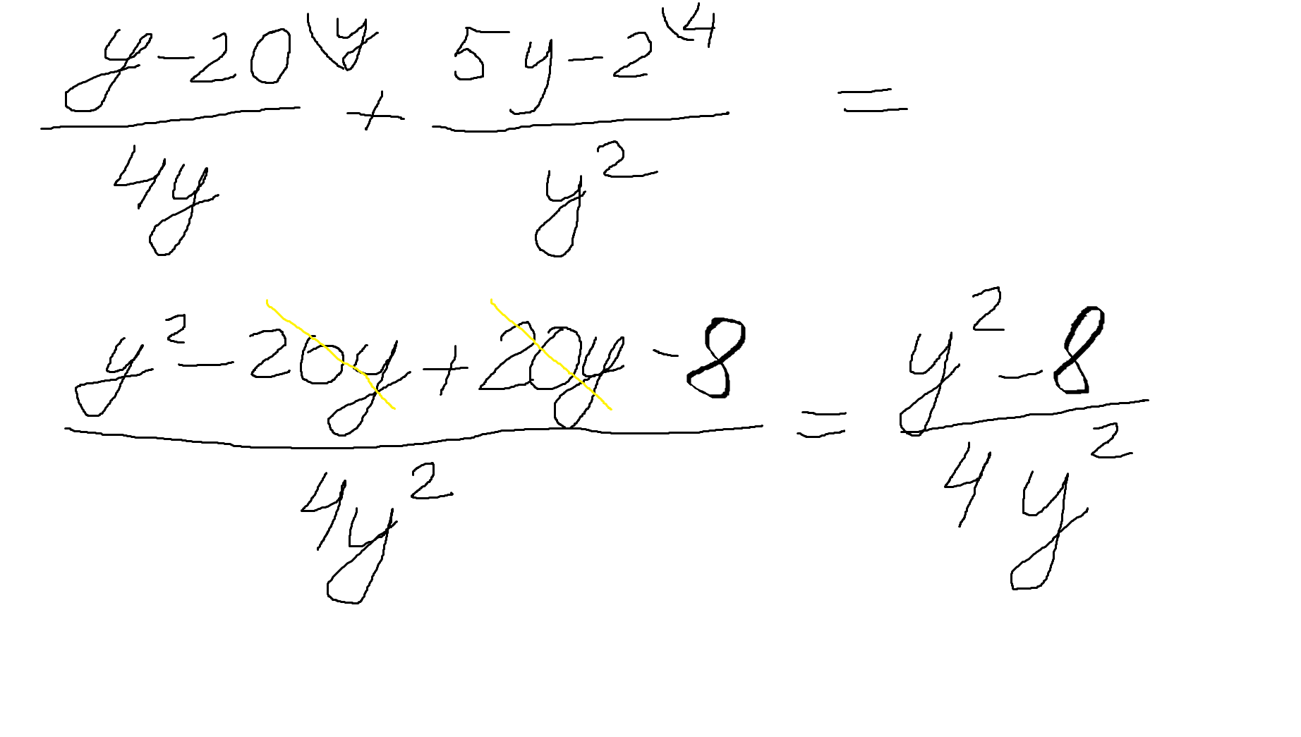
(У-20)/4У+(5У-2)/У*У  ЗНАМЕНАТЕЛЬ ВТОРОЙ ДРОБИ У В КВАДРАТЕ

Ответы

Ответ дал: maaaaaaarusya
0
сумма произведения не указана, поэтому могу только преобразовать, записав 2 дроби под одну черту (см. рисунок)
Приложения:
Вас заинтересует