• Предмет: Математика
  • Автор: Dewwwa
  • Вопрос задан 9 лет назад

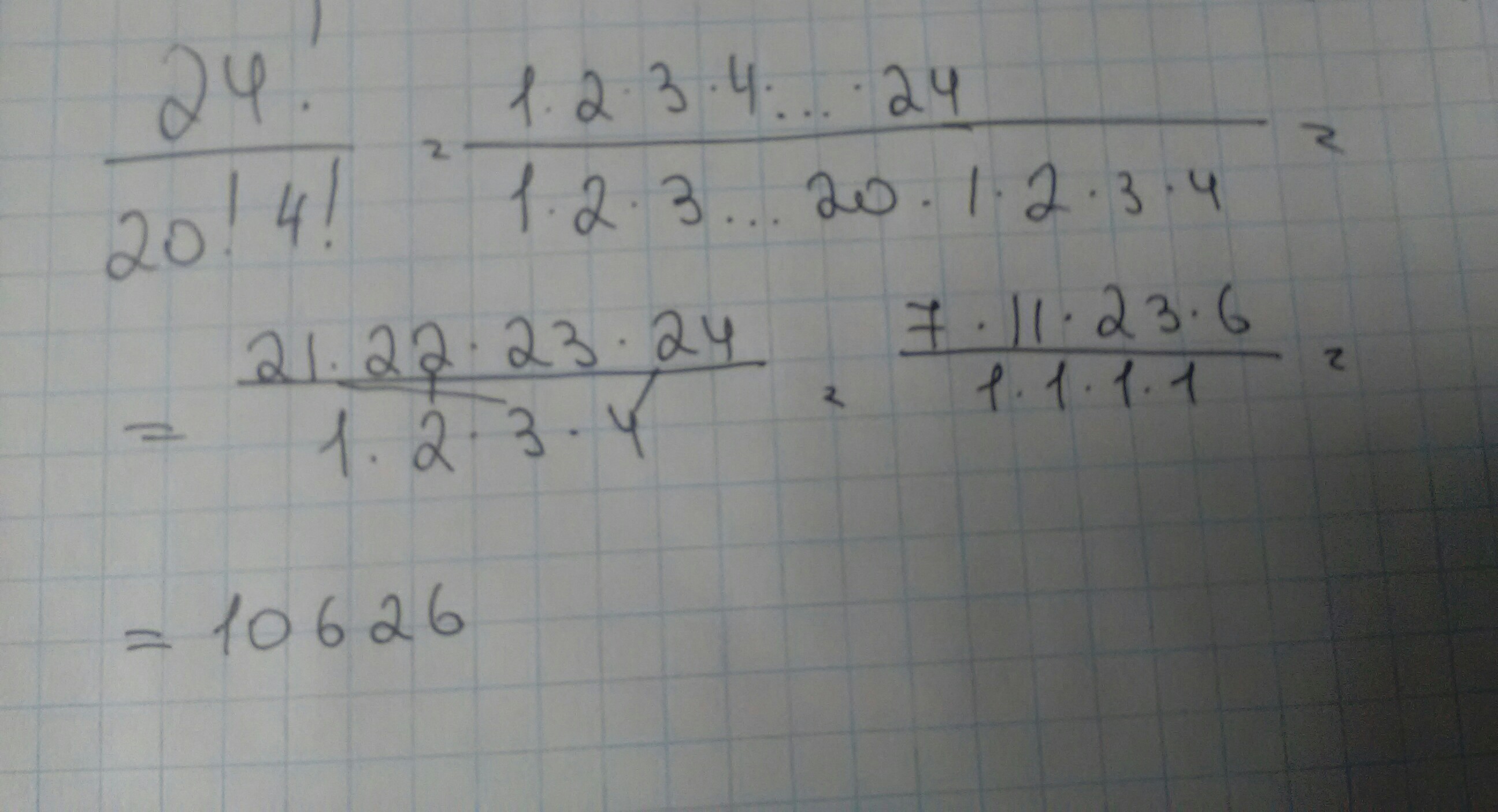
Помогите решить с факториалами!!!!

Приложения:

Ответы

Ответ дал: unicornkiosse
0
вот так вот это делается
Приложения:
Вас заинтересует