• Предмет: Алгебра
  • Автор: школа572
  • Вопрос задан 9 лет назад

Помогите пожалуйста с решением

Приложения:

Ответы

Ответ дал: Igiveyoulove
0
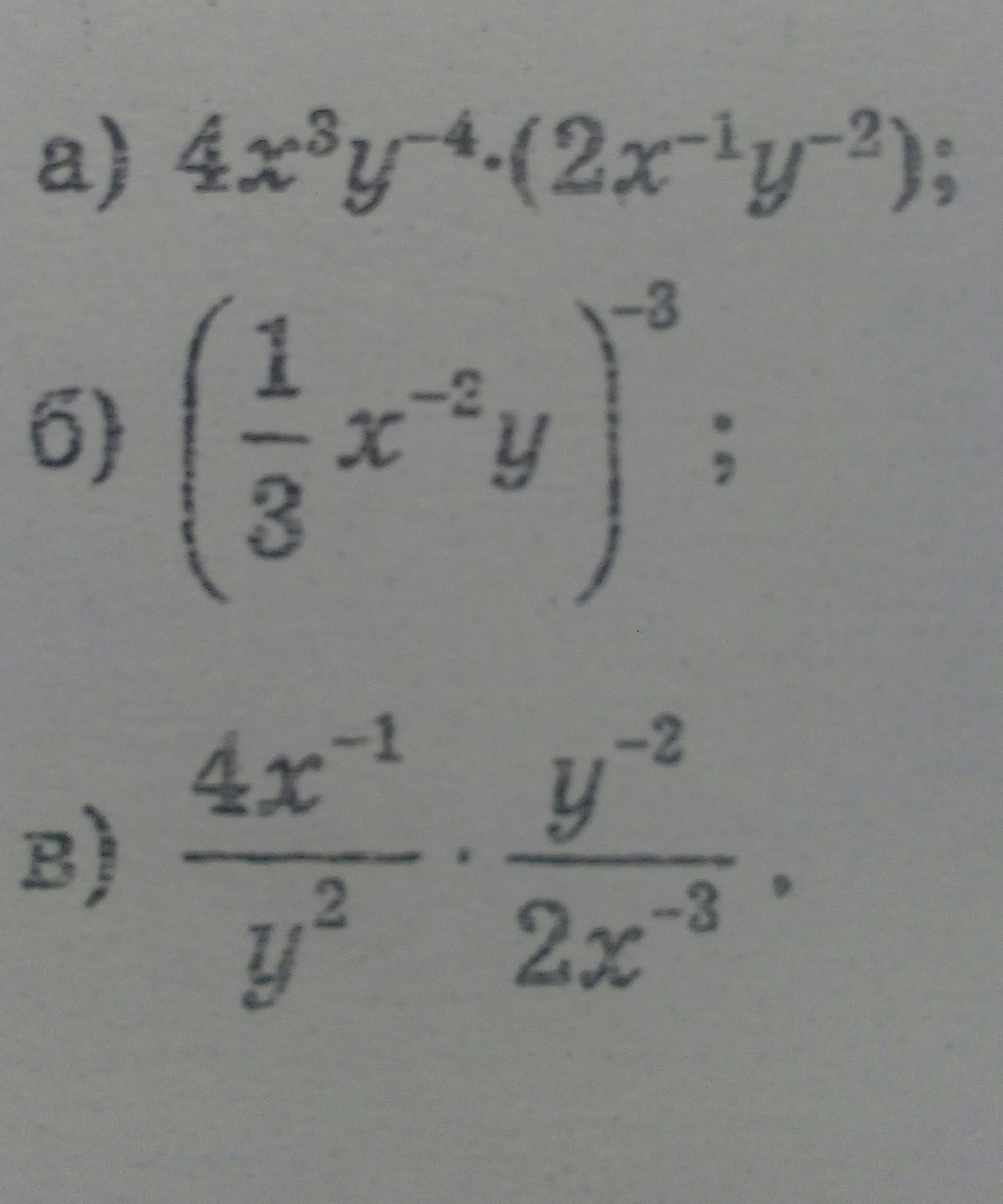
а) 4 x^3 y^-4 * (2 x^-1 y^-2)=8 x^2 y^-6
б) (1/3 x^-2 y)^-3 = 27 x^6 y^-3
в) 4/2 x^(-1-(-3)) y^(-2-2) = 2 x^2 y^-4
Ответ дал: школа572
0
большое спасибо что помогла
Ответ дал: Igiveyoulove
0
пожалуйста :)
Вас заинтересует