• Предмет: Алгебра
  • Автор: nctuline
  • Вопрос задан 9 лет назад

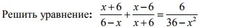
решить уравнение. объясните, пожалуйста, подробно!

Приложения:

Ответы

Ответ дал: katis80
0
((x+6)^2-(6-x)^2)/(36-x^2)=(x^2+12x+36-36+12x-x^2)/(36-x^2)=24x/(36-x^2)
24x/(36-x^2)-6/(36-x^2)=0
24x-6=0
24x=6
x=0,25
Ответ дал: nctuline
0
спасибо огромное <33
Вас заинтересует