• Предмет: Математика
  • Автор: juliaivanova9
  • Вопрос задан 11 лет назад

Помоги те решить 5, очень надо

Приложения:

Ответы

Ответ дал: triolana
0
====================================================
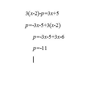
Приложения:
Вас заинтересует