• Предмет: Алгебра
  • Автор: алина5912
  • Вопрос задан 9 лет назад

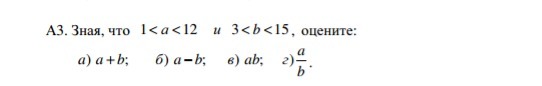
решите пожалуйста под буквой г!!!!!8 класс

Приложения:

Ответы

Ответ дал: SqrMaestro
0
Не понял значение слова "оцените".В школе не разу такого не делал.Но думаю что имеется ввиду написать диапазон возможных значений.Тогда получиться:a/b больше одной седьмой(1/7) но меньше 3.
Ответ дал: SqrMaestro
0
Боже.Что-то проблемки с аппаратом.Получиться: 1/7
Ответ дал: SqrMaestro
0
Не обрачайте внимания на комментарий.
Вас заинтересует