Ответы
Ответ дал:
0
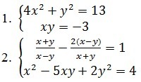
1)


2)


нет корней
ОТВЕТ (0;√2) (0;-√2)
2)
нет корней
ОТВЕТ (0;√2) (0;-√2)
Вас заинтересует
2 года назад
2 года назад
3 года назад
3 года назад
9 лет назад
10 лет назад
10 лет назад