• Предмет: Алгебра
  • Автор: serega61356
  • Вопрос задан 9 лет назад

Дифференциальное уравнение (нужно срочно) заранее спасибо

Приложения:

Ответы

Ответ дал: NNNLLL54
0
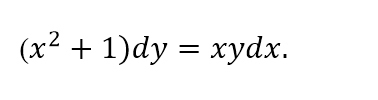
1); ; (x^2+1), dy=xy, dx\\frac{dy}{y}=frac{x, dx}{x^2+1}\\int frac{dy}{y}=frac{1}{2}int frac{2x, dx}{x^2+1}\\ln|y|=frac{1}{2}ln|x^2+1|+ln|C|\\y=Ccdot sqrt{x^2+1}

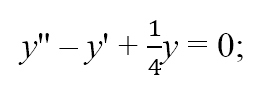
2); ; y''-y'+ frac{1}{4} y=0\\k^2-k+frac{1}{4}=0; |cdot 4\\4k^2-4k+1=0; ,; ; D/4=2^2-4=0; ,\\(2k-1)^2=0; ; to ; ; 2k-1=0; ,; ; k=frac{1}{2}\\y_{obshee}=e^{frac{x}{2}}cdot (C_1+C_2x)
Вас заинтересует