• Предмет: Математика
  • Автор: ImErudito
  • Вопрос задан 9 лет назад

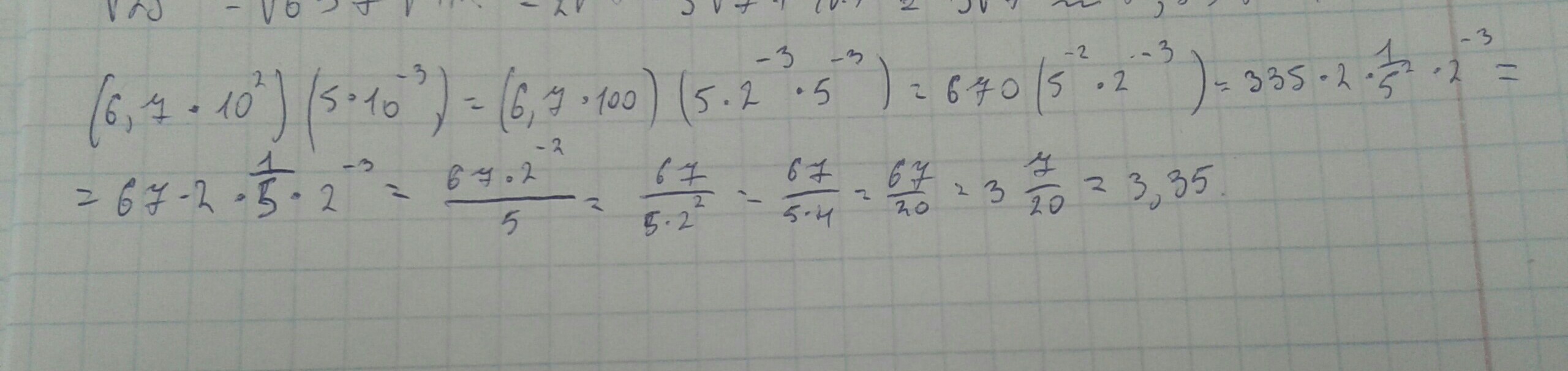
Надите значение выражения: (6,7 * 10^2)(5*10^-3)

Ответы

Ответ дал: МаТеМаТиК200411
0
решение на фотографии
Приложения:
Вас заинтересует