• Предмет: Алгебра
  • Автор: Fredi008
  • Вопрос задан 8 лет назад

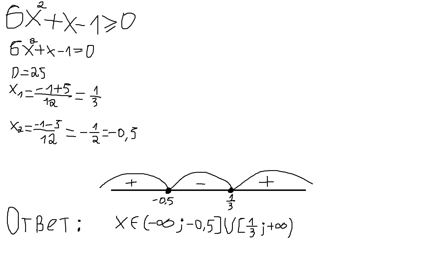
Решите неравенство 6x^2 + x - 1 >= 0

Ответы

Ответ дал: makskorzh397
0
Ответ во вложенииииииииииииии)
Приложения:
Вас заинтересует