• Предмет: Математика
  • Автор: boomChicabooom
  • Вопрос задан 8 лет назад

Помогите пожалуйста
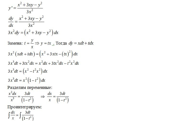
Найдите общий интеграл дифференциального уравнения:
y' =  frac{ y^{2}+3xy - y^{2} }{ 3x^{2}-2xy }

Ответы

Ответ дал: justcall
0
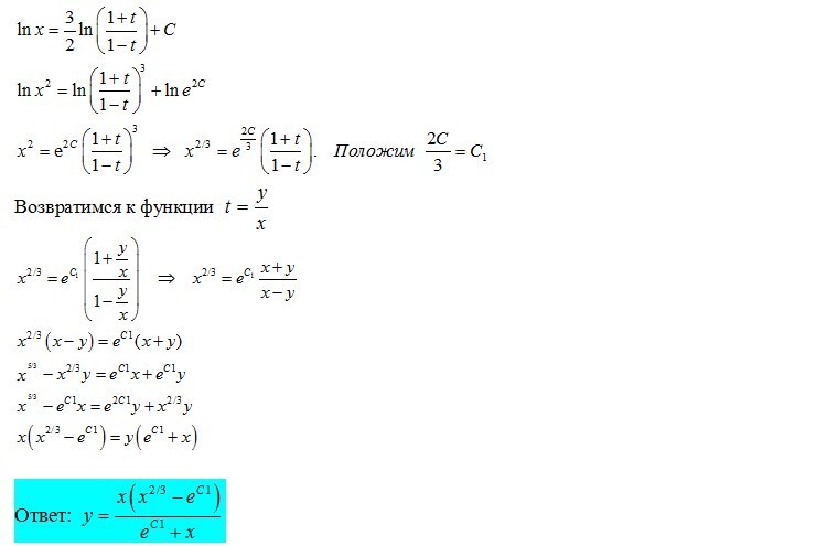
Решение прикреплено.
Приложения:
Вас заинтересует