Ответы
Ответ дал:
0
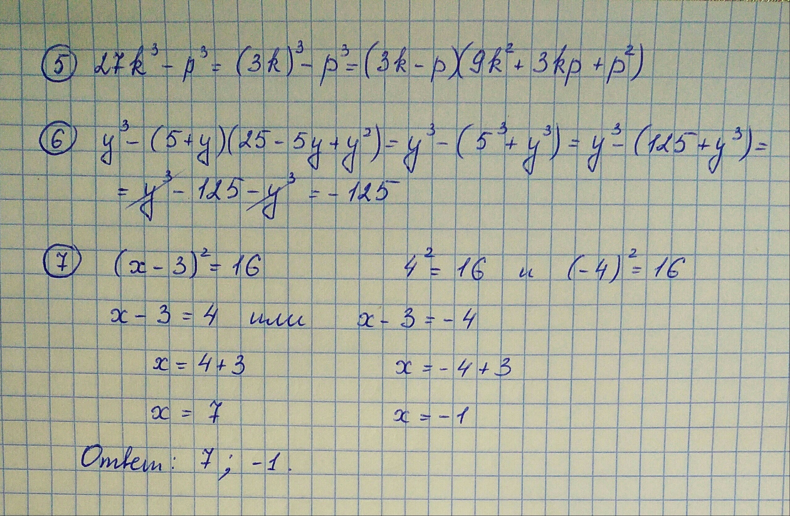
27k³ - p³ = (3k)³ - p³ = (3k - p)(9k² + 3kp + p²)
y³ - (5 + y)(25 - 5y + y²) = y³ - (5³ + y³) = y³ - 125 - y³ = - 125
В ответе нет переменной y , значит значение выражения не зависит от y .
(x - 3)² = 16
или x - 3 = 4 или x - 3 = - 4
x₁ = 7 x₂ = - 1
Ответ : - 1 ; 7
y³ - (5 + y)(25 - 5y + y²) = y³ - (5³ + y³) = y³ - 125 - y³ = - 125
В ответе нет переменной y , значит значение выражения не зависит от y .
(x - 3)² = 16
или x - 3 = 4 или x - 3 = - 4
x₁ = 7 x₂ = - 1
Ответ : - 1 ; 7
Ответ дал:
0
Ответы и решение на фото.
Приложения:

Вас заинтересует
2 года назад
3 года назад
9 лет назад
9 лет назад
9 лет назад