Ответы
Ответ дал:
0
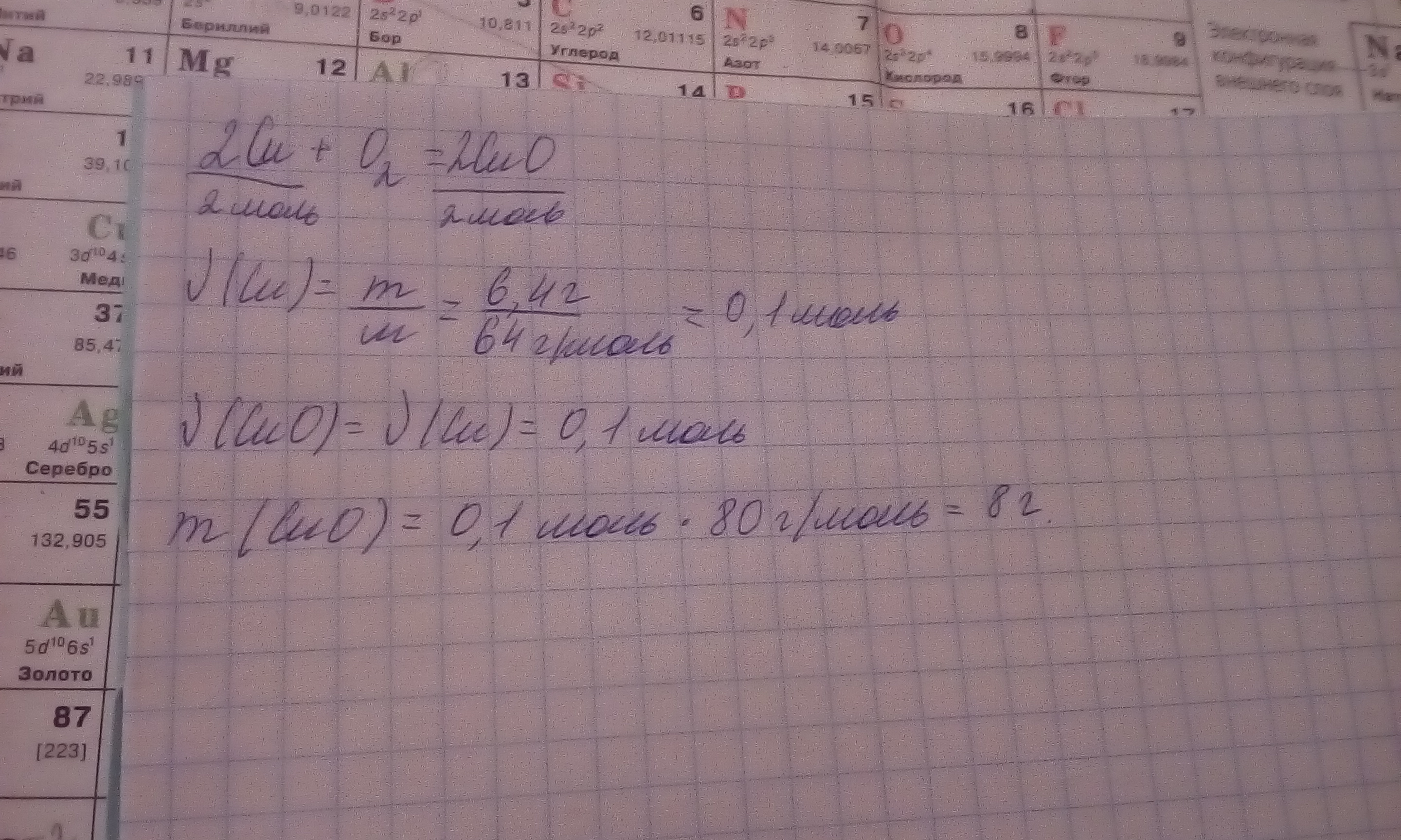
Держи.
Если что-то не понятно, пиши.
Если что-то не понятно, пиши.
Приложения:

Ответ дал:
0
Спс
Вас заинтересует
2 года назад
3 года назад
3 года назад
9 лет назад