• Предмет: Математика
  • Автор: лёша120
  • Вопрос задан 8 лет назад

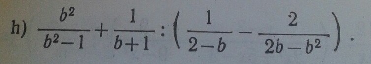
Помогите решить,пж запишите с решением. Заранее спасибо)

Приложения:

Ответы

Ответ дал: AhahaStudio
0
Скорее всего так, я не уверен
Приложения:
Ответ дал: pavlikleon
0
Ds cfvb vj;tnt hfpj,hfnm cdj` htitybt&
Ответ дал: pavlikleon
0
а ну именно так!! :)
Ответ дал: AhahaStudio
0
нет не всегда получается разобрать))
Ответ дал: pavlikleon
0
из-за не аккуратности ведения решения - Вы не решили.. и нарвались на мой слегка саркастический комментарий.. Желаю Вам привести отображение своих умозаключений в порядок. Удачи!!
Ответ дал: AhahaStudio
0
хахахахха спасибо :)
Ответ дал: anna2501v
0
Ответ и решение на фото
Приложения:
Вас заинтересует