• Предмет: Алгебра
  • Автор: Book628
  • Вопрос задан 9 лет назад

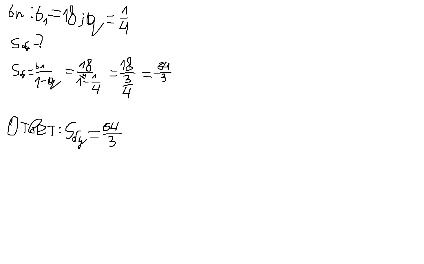
Знайдіть суму нескінченно спадної геометричної прогресії (bn) перший член якої дорівнює 18 а знаменник дорівнює 1/4 .Помогите

Ответы

Ответ дал: makskorzh397
0
Ответ во вложенииииии
Приложения:
Ответ дал: Book628
0
Дуже дякую ))
Ответ дал: makskorzh397
0
Если бы я понимал,что ты говоришь)))
Ответ дал: Book628
0
Спасибо
Ответ дал: makskorzh397
0
Аааа.Всегда пожалуйста)
Вас заинтересует