Ответы
Ответ дал:
0
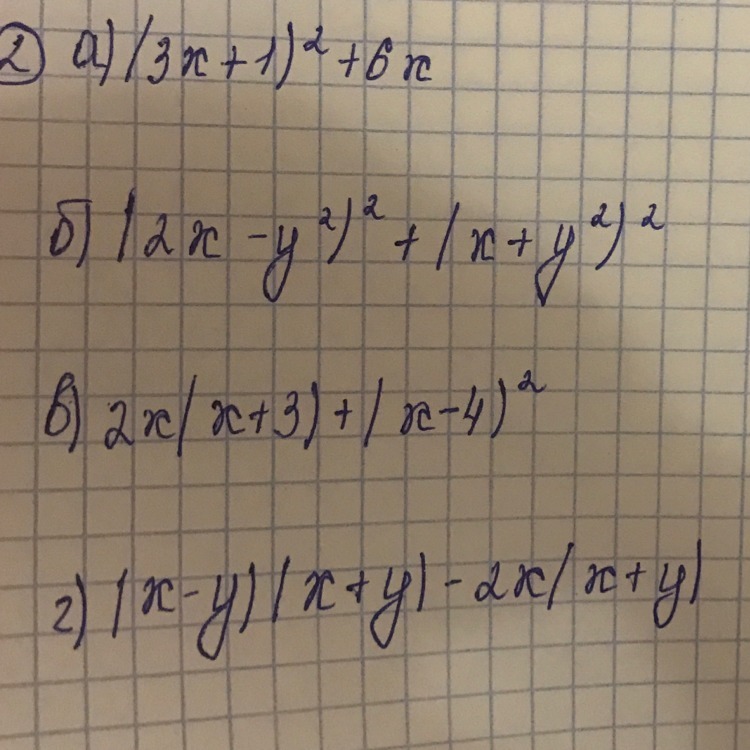
а)(3x+1)^2+6x=9x^2+12x+1;
б)(2x-y^2)^2+(x+y^2)^2=4x^2−4xy^2+y^4+x^2+2xy^2+y^4=2y^4−2xy^2+5x^2;
в)2x(x+3)+(x-4)^2=2x^2+6x+x^2−8x+16=3x^2−2x+16;
г)(x-y)(x+y)-2x(x+y)=x^2+xy−yx−y^2−2x^2−2xy=−x^2−y^2−2xy.
б)(2x-y^2)^2+(x+y^2)^2=4x^2−4xy^2+y^4+x^2+2xy^2+y^4=2y^4−2xy^2+5x^2;
в)2x(x+3)+(x-4)^2=2x^2+6x+x^2−8x+16=3x^2−2x+16;
г)(x-y)(x+y)-2x(x+y)=x^2+xy−yx−y^2−2x^2−2xy=−x^2−y^2−2xy.
Ответ дал:
0
ответ на фото.
................
................
Приложения:

Вас заинтересует
2 года назад
2 года назад
3 года назад
3 года назад
9 лет назад
9 лет назад