• Предмет: Химия
  • Автор: Аноним
  • Вопрос задан 8 лет назад

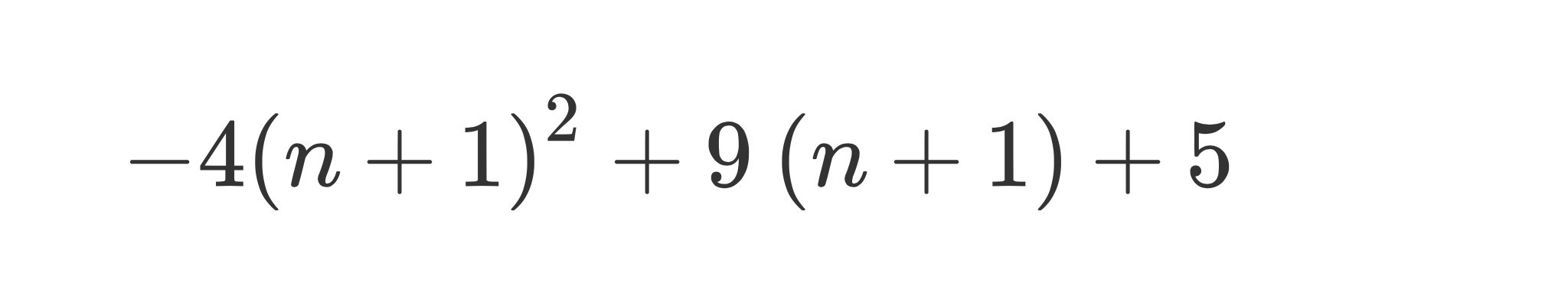
Упростите выражение.

Приложения:

Ответы

Ответ дал: danilbakhterevp6069s
0
-4(n²+2n+1)+9n+9+5
-4n²-8n-4+9n+9+5
-4n²+n+10
Ответ дал: Аноним
0
Все уже было решено несколько раз ;)
Вас заинтересует