• Предмет: Математика
  • Автор: Ghost000
  • Вопрос задан 8 лет назад

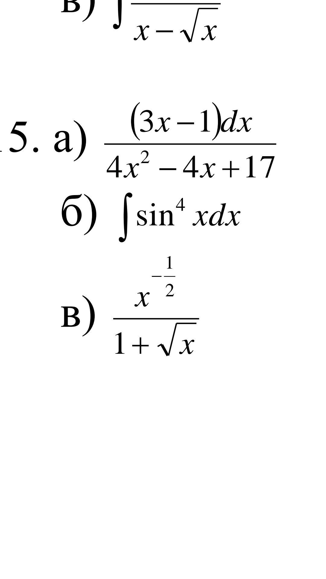
вычислить интеграл. только пример А

Приложения:

Ответы

Ответ дал: xatri666
0
Добавлю ответ.
/////////////////////
Приложения:
Ответ дал: xatri666
0
потеряла о.5.Да.сей
Ответ дал: xatri666
0
час вижу.Решила 3 часи ночи
Ответ дал: xatri666
0
Перед интег.0.5 забыта.Можно как-то исправить? новое фото.
Ответ дал: xatri666
0
Ой-ой.Если сможете удалить фото, пришлите.
Ответ дал: xatri666
0
Все.Спасибо.
Вас заинтересует