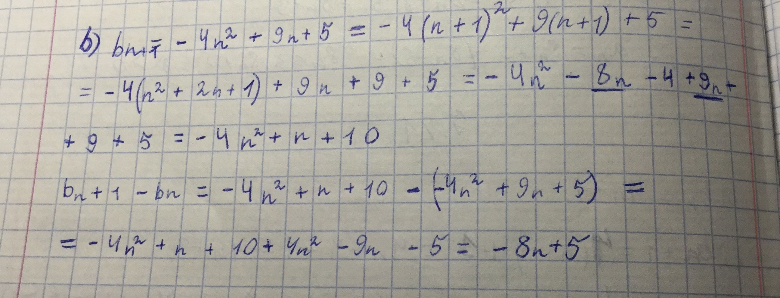
Проверьте мое решение . Формула последовательности была -4n^2+9n+5
Надо было доказать, что последовательность убывает. Отнять от dn dn+1
Приложения:
Ответы
Ответ дал:
0
Всё правильно.
Дальше надо сказать, что n€N, то есть n=1,2,3....
Видно, что начиная с n=1 (- 8n+5) отрицательное, то есть ты из меньшего вычитаешь большее. То есть bn>bn+1, последовательность убывает
Дальше надо сказать, что n€N, то есть n=1,2,3....
Видно, что начиная с n=1 (- 8n+5) отрицательное, то есть ты из меньшего вычитаешь большее. То есть bn>bn+1, последовательность убывает
Ответ дал:
0
Спасибо
Вас заинтересует
2 года назад
3 года назад
9 лет назад
9 лет назад
10 лет назад