• Предмет: Математика
  • Автор: mirondron769
  • Вопрос задан 8 лет назад

Помогите срочно!!!
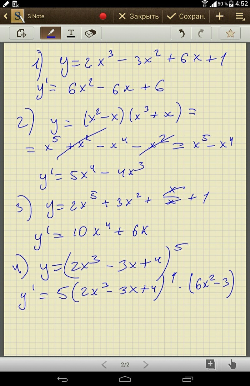
Найти производную
а) f(x)=2x^3-3x^2+6x+1
б) f(x)=(x^2-x)(x^3+x)
в) f(x)=2x^5+3x^2+x/x+1
г) f(x)=(2x^3-3x+4)^5

Ответы

Ответ дал: rusfiz
0
.....................
Приложения:
Вас заинтересует