• Предмет: Алгебра
  • Автор: svetka1574
  • Вопрос задан 9 лет назад

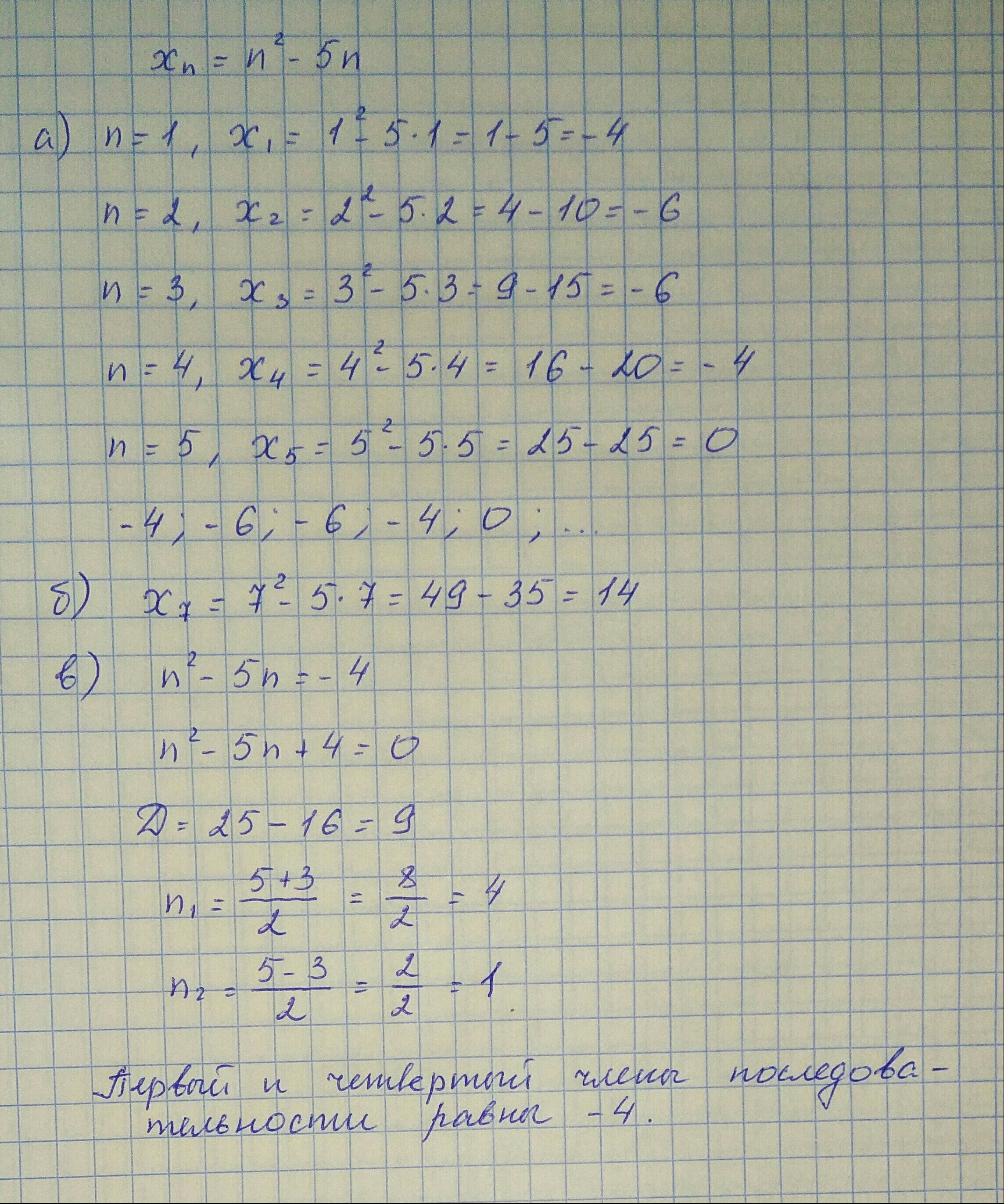
Последовательность (Хn) задана формулой n-го члена Xn=n² -5n
А) Выпишите первые 5 членов этой последовательности
Б) Запишите седьмой член последовательности
В) Определите, содержаться ли в этой последовательности число -4
Решите подробно.

Ответы

Ответ дал: anna2501v
0
Ответы и решение на фото
Приложения:
Вас заинтересует