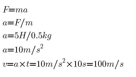
Какую скорость приобретет ранее покоящееся тело массой 0,5 кг, если под действием силы 5 Н оно движется 10 с
Ответы
Ответ дал:
0
F равно ma
v равно 100 м/с
v равно 100 м/с
Приложения:

Вас заинтересует
2 года назад
2 года назад
3 года назад
3 года назад
9 лет назад
9 лет назад
10 лет назад