• Предмет: Физика
  • Автор: зая410
  • Вопрос задан 9 лет назад

Велосипедист, який рухається зі швидкістю 3 м/с, починає спускатися з гори з прискоренням 0,8 . Визначити довжину гoри, якщо спуск триває 6с

Ответы

Ответ дал: Ilah271
0
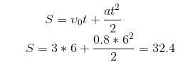
S=Vo*t+a/2*t^2
S=3*6+0,4*36=32,4м
Ответ дал: зая410
0
0.8 × 36 = 28.8/2 = 14.4 + 3×6 = 32.4
Ответ дал: Ilah271
0
сорян
Ответ дал: зая410
0
Всё равно спасибо )
Ответ дал: іваньок
0

Ответ:

32. 4 метра

Объяснение:

S-?

υ₀=3 м/с

a=0.8  м/с²

t=6 c

Приложения:
Вас заинтересует