• Предмет: Алгебра
  • Автор: Аноним
  • Вопрос задан 11 лет назад

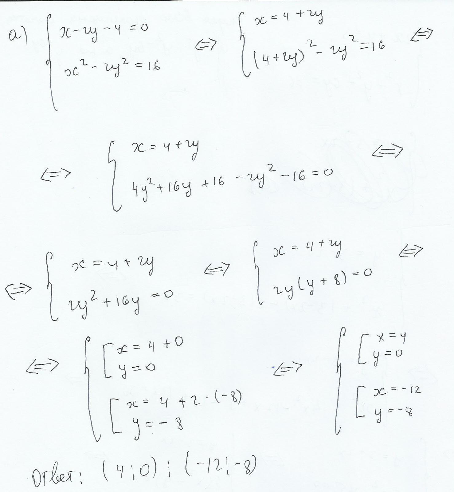
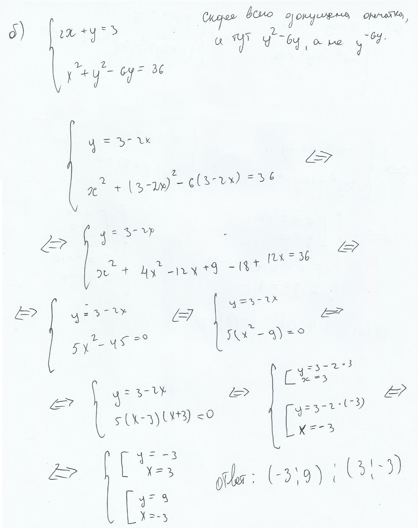
Решите систему уравнений:
a) {x-2y-4=0
{x^2-2y^2=16
б)  {2x+y=3
{x^2+y^-6y=36

Ответы

Ответ дал: Нау4пок
0

Решение во вложении.

Приложения:
Вас заинтересует