• Предмет: Математика
  • Автор: Человек139294
  • Вопрос задан 9 лет назад

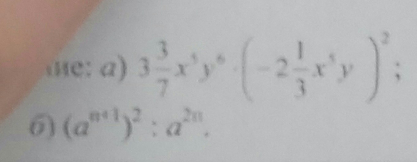
Упростите выражение 3 3/7x^5y^6×(-2 1/2x^xy)^2

Приложения:

Ответы

Ответ дал: tatsach
0
...........................
Приложения:
Вас заинтересует