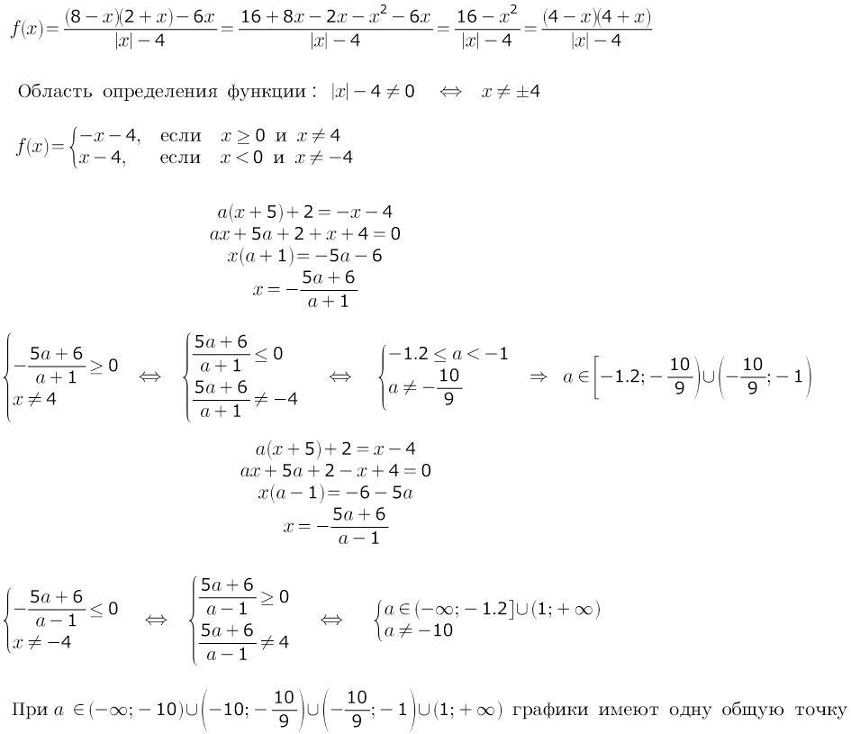
Найдите все значения
a,
при которых прямая
y=a(x+5)+2
имеет с построенным графиком ровно одну общую
точку.
Ответы
Ответ дал:
0
Объяснение: фото.....
Приложения:


Вас заинтересует
2 года назад
2 года назад
3 года назад
3 года назад
9 лет назад
9 лет назад
10 лет назад