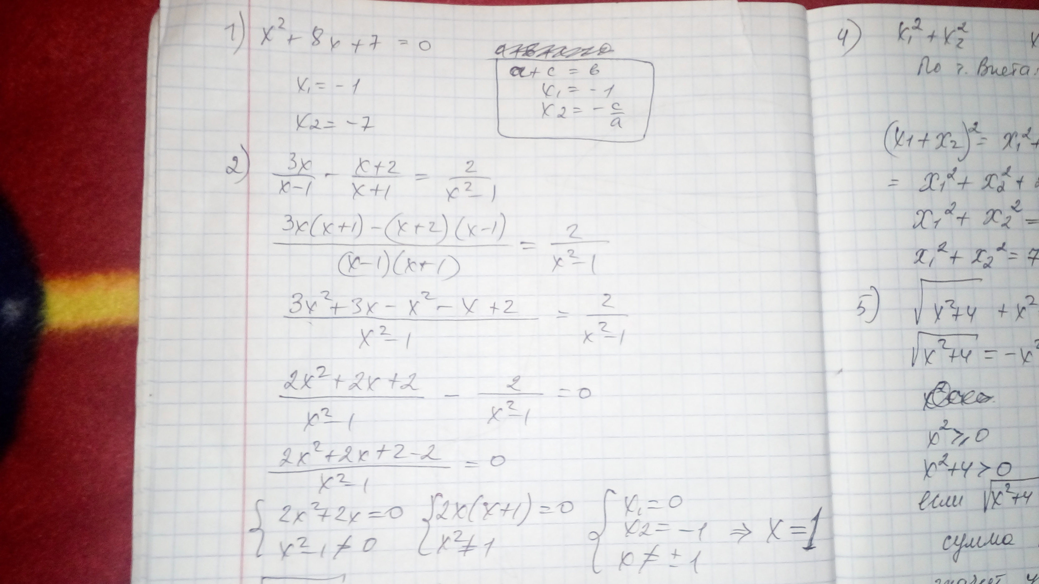
Решите со 2 по 5.Все задания на тему Квадратные уравнения.Можно решать через дискриминант или по теореме Виета.Даю 34 балла!
Приложения:

Ответы
Ответ дал:
0
............................
Приложения:




Вас заинтересует
2 года назад
9 лет назад
9 лет назад
9 лет назад
9 лет назад