ПОМОГИТЕЕЕЕЕ УМОЛЯЮ ОЧЕНЬ НАДО (540 Найдите производную функции) ПОЖАЛУЙСТА БУДУ ОЧЕНЬ БЛАГОДАРЕН ЗА ПОМОЩЬ.
Приложения:

Ответы
Ответ дал:
0
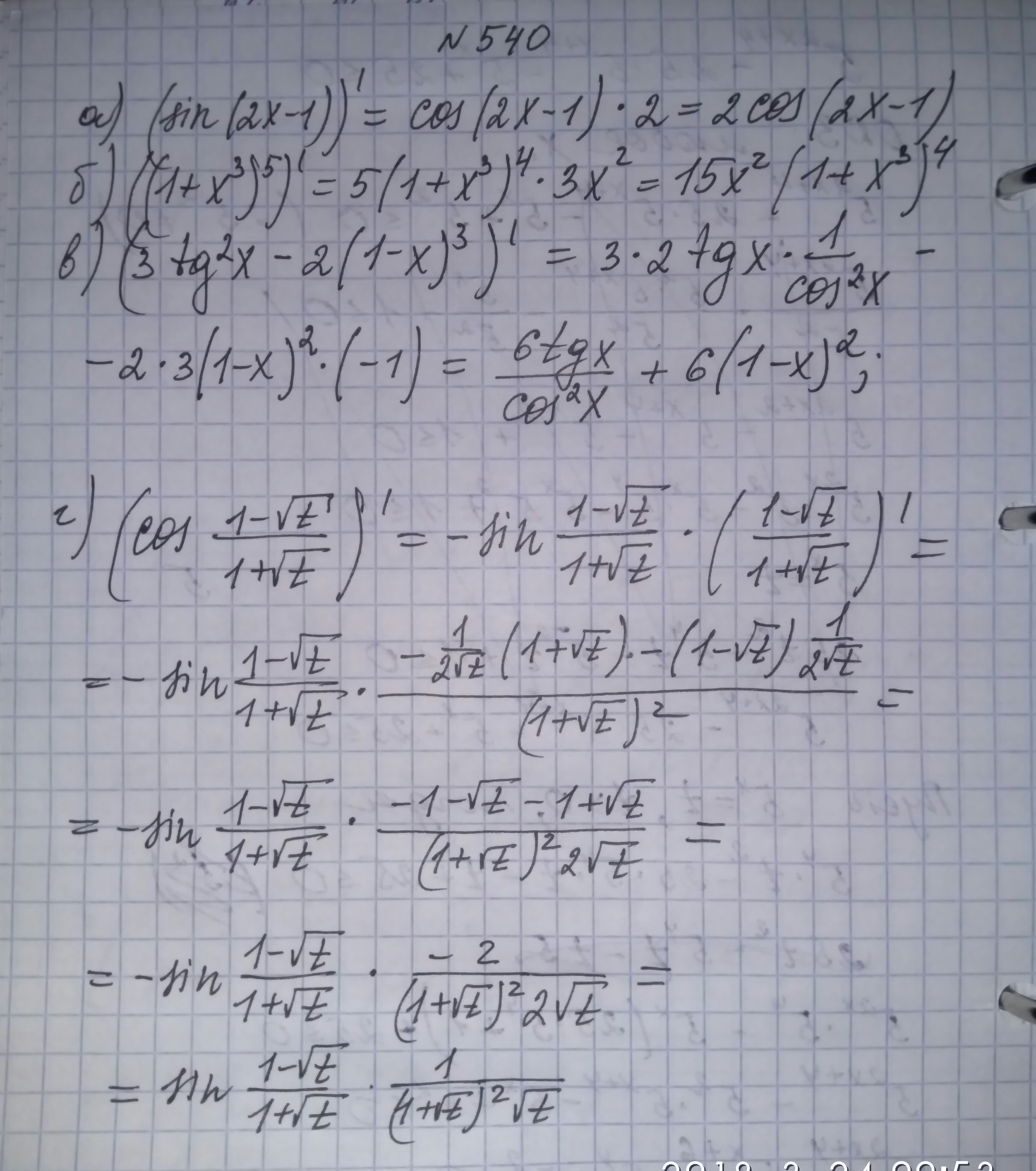
Решение на фотографии: первые четыре.
Приложения:

Ответ дал:
0
спасибо огромное вы второй мне отправили только 4 ответа) спасибо я очень благодарен
Ответ дал:
0
Пожалуйста!
Ответ дал:
0
остальные четыре смотрите в другом вопросе :)
Вас заинтересует
2 года назад
2 года назад
3 года назад
9 лет назад
9 лет назад
10 лет назад
10 лет назад