Ответы
Ответ дал:
0
Ответ во вложении....
Приложения:
Ответ дал:
0
спасибо большое
Ответ дал:
0
в номере три в последнем ошибка
Ответ дал:
0
исправила
Ответ дал:
0
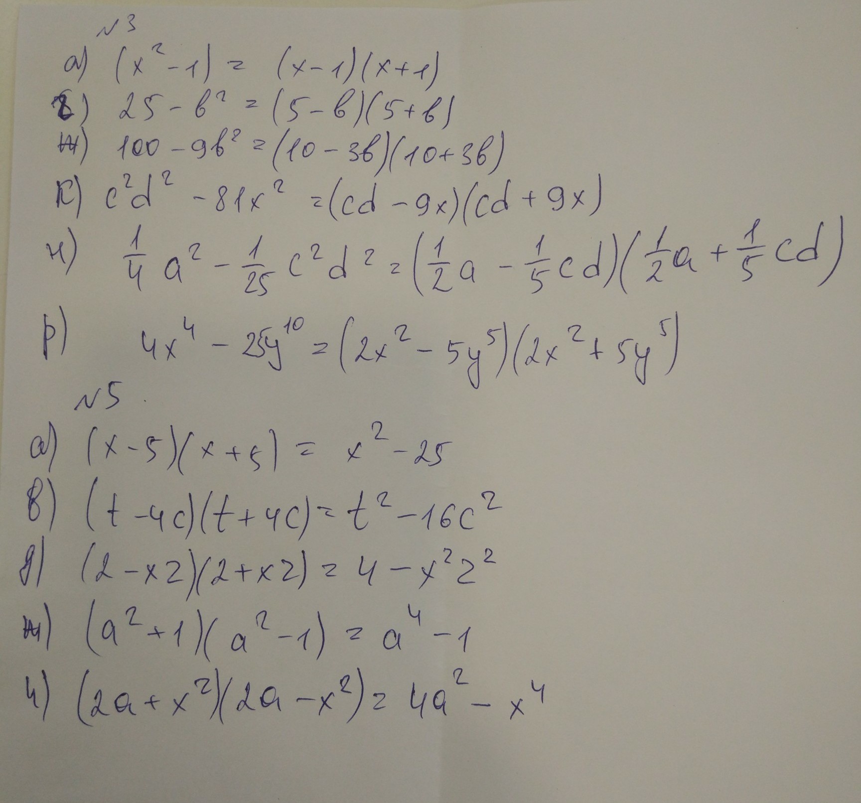
А) (х-1)•(х+1)
Г) (5-b)•(5+b)
Ж) (10-3b)•(10+3b)
K) (сd-9x)•(cd+9x)
H) (1/2a-1/5cd)• ( 1/2a-1/5cd)
P) (2x( в квадрате)-5у( в 5 степени)
5. А) х(в квадрате)-25
В) t( в квадрате) - 16с(в квадрате)
Д) 4- х(в квадрате) у(в квадрате)
Ж) а( а 4 степ)-1
И) 4а( в квадрате) -х( в 4 степ)
Г) (5-b)•(5+b)
Ж) (10-3b)•(10+3b)
K) (сd-9x)•(cd+9x)
H) (1/2a-1/5cd)• ( 1/2a-1/5cd)
P) (2x( в квадрате)-5у( в 5 степени)
5. А) х(в квадрате)-25
В) t( в квадрате) - 16с(в квадрате)
Д) 4- х(в квадрате) у(в квадрате)
Ж) а( а 4 степ)-1
И) 4а( в квадрате) -х( в 4 степ)
Приложения:
Вас заинтересует
2 года назад
3 года назад
3 года назад
9 лет назад