• Предмет: Алгебра
  • Автор: nanakiriya
  • Вопрос задан 8 лет назад

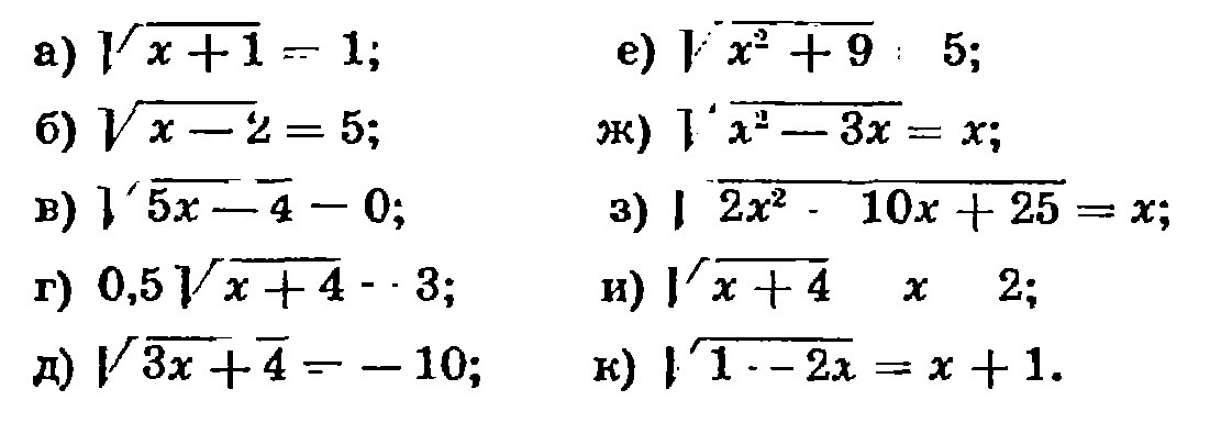
Решите уравнение. Уравнения типа: x^2=a.

Приложения:

Ответы

Ответ дал: lexeritto
0
a) 0²=0
б) 27²=729
в) x-любое число, т.к нет уравнения => x² - любое число

Вас заинтересует