• Предмет: Алгебра
  • Автор: Lika7630
  • Вопрос задан 8 лет назад

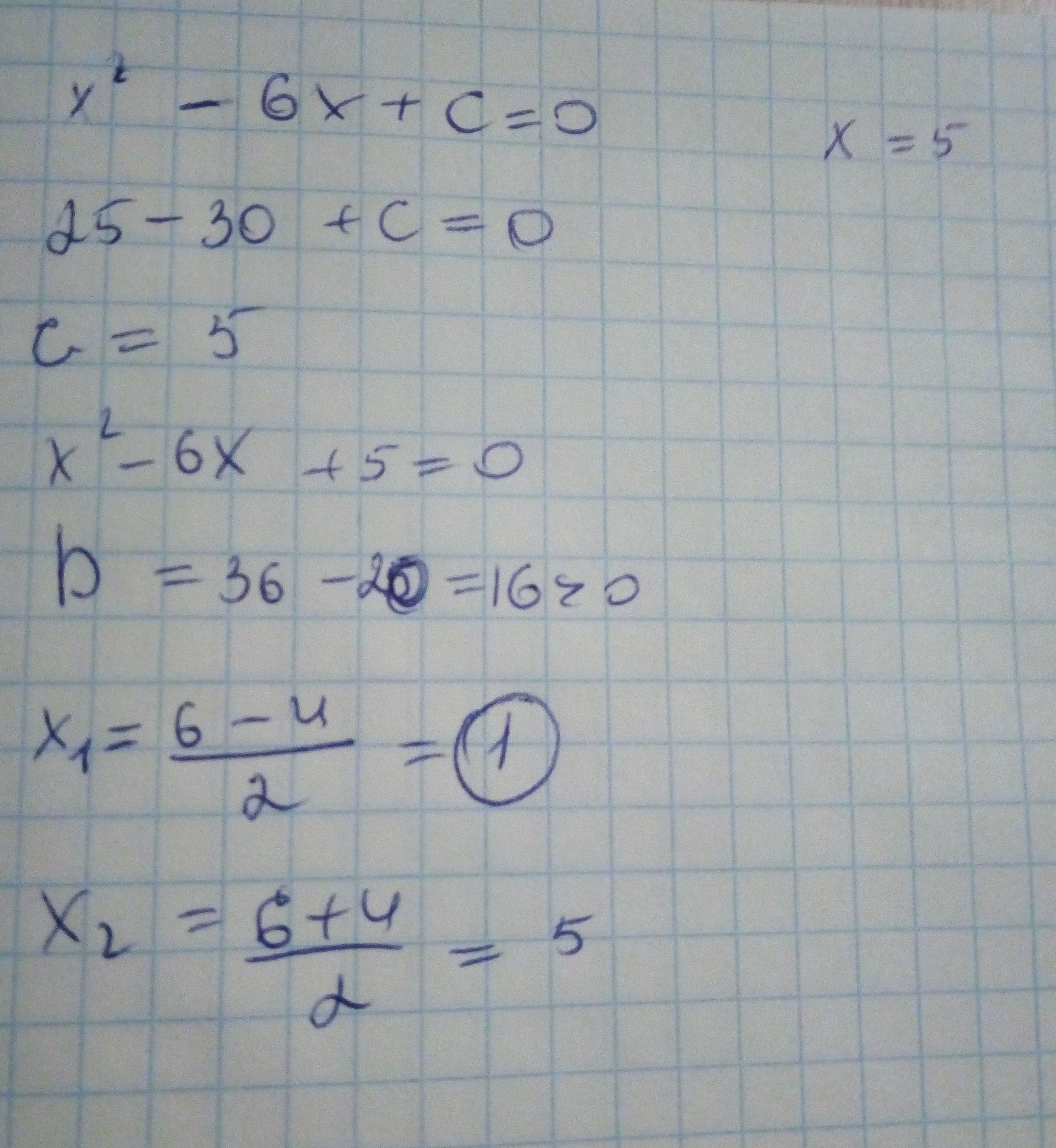
Один из корней уравнения x^2 -6x + c=0 равен 5 найдите с и другой корень уравнения

Ответы

Ответ дал: LemanAx
0
Все решения на фотографии.
Приложения:
Ответ дал: Lika7630
0
Спасибо большое
Вас заинтересует