РЕШИТЕ, ПОЖАЛУЙСТА, ДАЮ 30 БАЛЛОВ
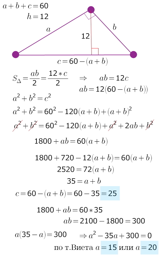
Три распределительные подстанции связаны друг с другом высоковольтными линиями электропередачи(прямолинейными), суммарная длина которых составляет 60 км, причем один из углов образовавшегося треугольника является прямым, а кратчайшее расстояние от вершины этого угла до одной из трех линий равно 12 км. Найдите расстояние между подстанциями.
                        
                            
                            
                    Ответы
                                            Ответ дал: 
                                                                                    
                                        
                                            
                                                
                                                
                                                
                                                    0
                                                
                                            
                                        
                                    
                                        известна высота, проведенная к гипотенузе...
площадь прямоугольного треугольника можно вычислить как
половину произведения катетов или как
половину произведения высоты к гипотенузе на гипотенузу...
Ответ: расстояния между подстанциями 25; 20; 15
(египетский треугольник)
                                                площадь прямоугольного треугольника можно вычислить как
половину произведения катетов или как
половину произведения высоты к гипотенузе на гипотенузу...
Ответ: расстояния между подстанциями 25; 20; 15
(египетский треугольник)
Приложения:
                    
                            Вас заинтересует
                
                        2 года назад
                    
                
                        2 года назад
                    
                
                        3 года назад
                    
                
                        3 года назад
                    
                
                        9 лет назад
                    
                
                        9 лет назад
                    
                
                        10 лет назад