• Предмет: Геометрия
  • Автор: klybnichka2
  • Вопрос задан 8 лет назад

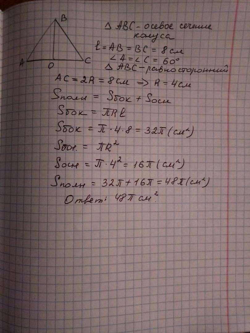
твірна конуса дорівнює 8 см і утворює з площиною основи кут, що дорівнює 60°. знайдіть повну поверхню конуса

Ответы

Ответ дал: lizslitvinenko
0
по т. синусов находишь h, затем по формуле находишь l и подставляешь в формулу
Приложения:
Ответ дал: lilyatomach
0

Ответ:

решение представлено на фото

Объяснение:

Приложения:
Вас заинтересует