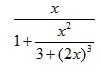
Запиши на алгоритмическом языке следующую формулу:
А) x/(1+(x*x)/(3+(2*x)* (2*x)* (2*x)))
Б) x/(1+(x*x)/(3+(2x)* (2x)* (2x)))
В) x/1+x*x/3+(2*x)* (2*x)* (2*x)
Г) x/(1+x*2/(3+(2*x)*3))
Приложения:
Ответы
Ответ дал:
0
А
*непонятные символы, чтобы добить до 20*
*непонятные символы, чтобы добить до 20*
Вас заинтересует
2 года назад
2 года назад
3 года назад
3 года назад
9 лет назад
9 лет назад
10 лет назад