• Предмет: Алгебра
  • Автор: Savanova
  • Вопрос задан 8 лет назад

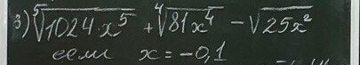
Помогите пожалуйста. Даю 70 баллов! С подробным решением.

Приложения:

Ответы

Ответ дал: армения20171
0
=2²x+|3x|-|5x|=-0,4+|-0,3|-|-0,5|=
-0,4+0,3-0,5=-0,6
Вас заинтересует