Ответы
Ответ дал:
0
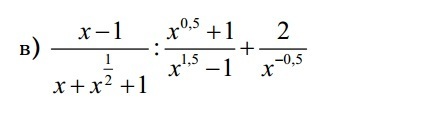
Расписываем первок слагаемое:
(х-1)*((x^05)^3-1)/(((x^05+1)(x+x^05+1))=/в числителе стоит разность кубов, поэтому сокращаем на нполный квадрат суммы/
=(х-1)(х^05-1)/(x^05+1)=
/х-1 как квадрат разности/
=(x^05-1)^2=x+1-2x^05
Bторое слагаемое :
2*х^0,5
сумма х+1
Ответ: х+1
(х-1)*((x^05)^3-1)/(((x^05+1)(x+x^05+1))=/в числителе стоит разность кубов, поэтому сокращаем на нполный квадрат суммы/
=(х-1)(х^05-1)/(x^05+1)=
/х-1 как квадрат разности/
=(x^05-1)^2=x+1-2x^05
Bторое слагаемое :
2*х^0,5
сумма х+1
Ответ: х+1
Вас заинтересует
2 года назад
3 года назад
9 лет назад
9 лет назад
10 лет назад