• Предмет: Алгебра
  • Автор: marcel123
  • Вопрос задан 8 лет назад

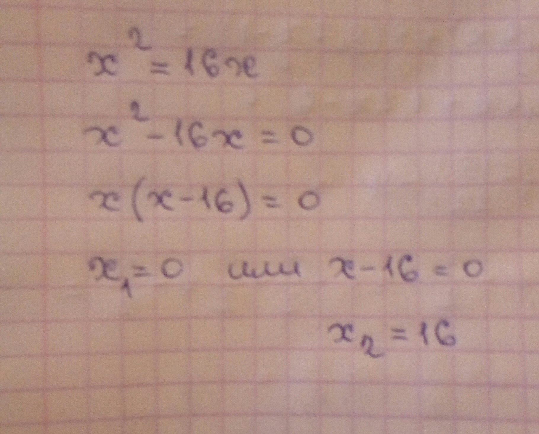
X в квадрате =16x помогите решить быстро

Ответы

Ответ дал: ЯгодкаЯлесная
0
фоточка тебе в помощь ;)
Приложения:
Ответ дал: Аноним
0
эээ, я тож хотел
Вас заинтересует