Ответы
Ответ дал:
0
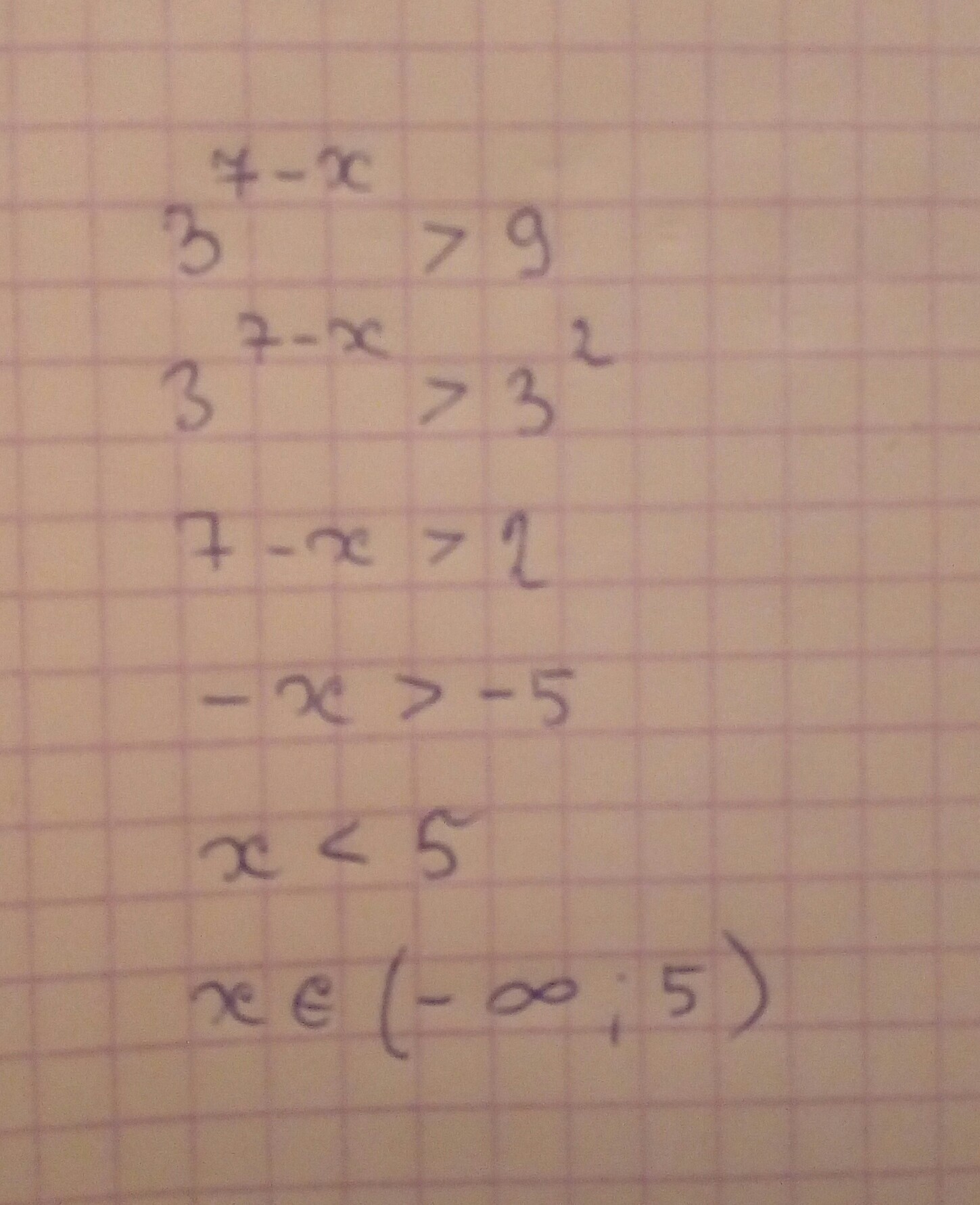
фоточка тебе в помощь ;)
Приложения:

Вас заинтересует
2 года назад
2 года назад
3 года назад
9 лет назад
9 лет назад