Ответы
Ответ дал:
0
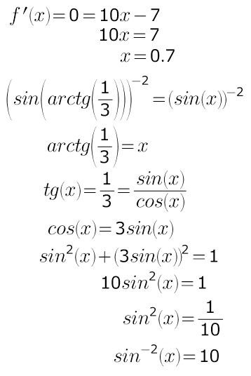
B6) точка, в которой функция принимает экстремальное значение (наименьшее или наибольшее...) находится из условия равенства производной нулю...
В4)
замена: арктангенс числа --это такой угол, тангенс которого равен числу (1/3)
В11)
отрезки касательных, проведенных из одной точки к окружности, равны.
треугольник NBK --равносторонний))
В4)
замена: арктангенс числа --это такой угол, тангенс которого равен числу (1/3)
В11)
отрезки касательных, проведенных из одной точки к окружности, равны.
треугольник NBK --равносторонний))
Приложения:


Вас заинтересует
2 года назад
2 года назад
3 года назад
9 лет назад
9 лет назад