• Предмет: Математика
  • Автор: sadf3
  • Вопрос задан 9 лет назад

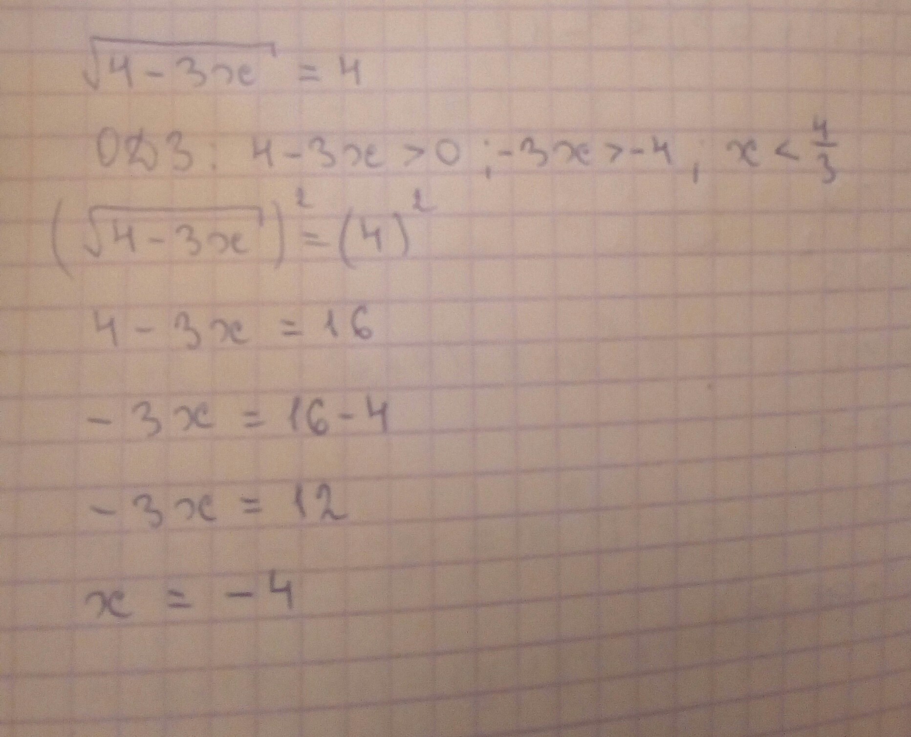
Помогите решить уравнение

Приложения:

Ответы

Ответ дал: ЯгодкаЯлесная
0
фоточка тебе в помощь ;)
Приложения:
Вас заинтересует