• Предмет: Геометрия
  • Автор: nastasyakirill
  • Вопрос задан 8 лет назад

Ребят решите пожалуйста, умоляю васс помогите . даю 18 баллов!!!!

Приложения:

Ответы

Ответ дал: parus77
0
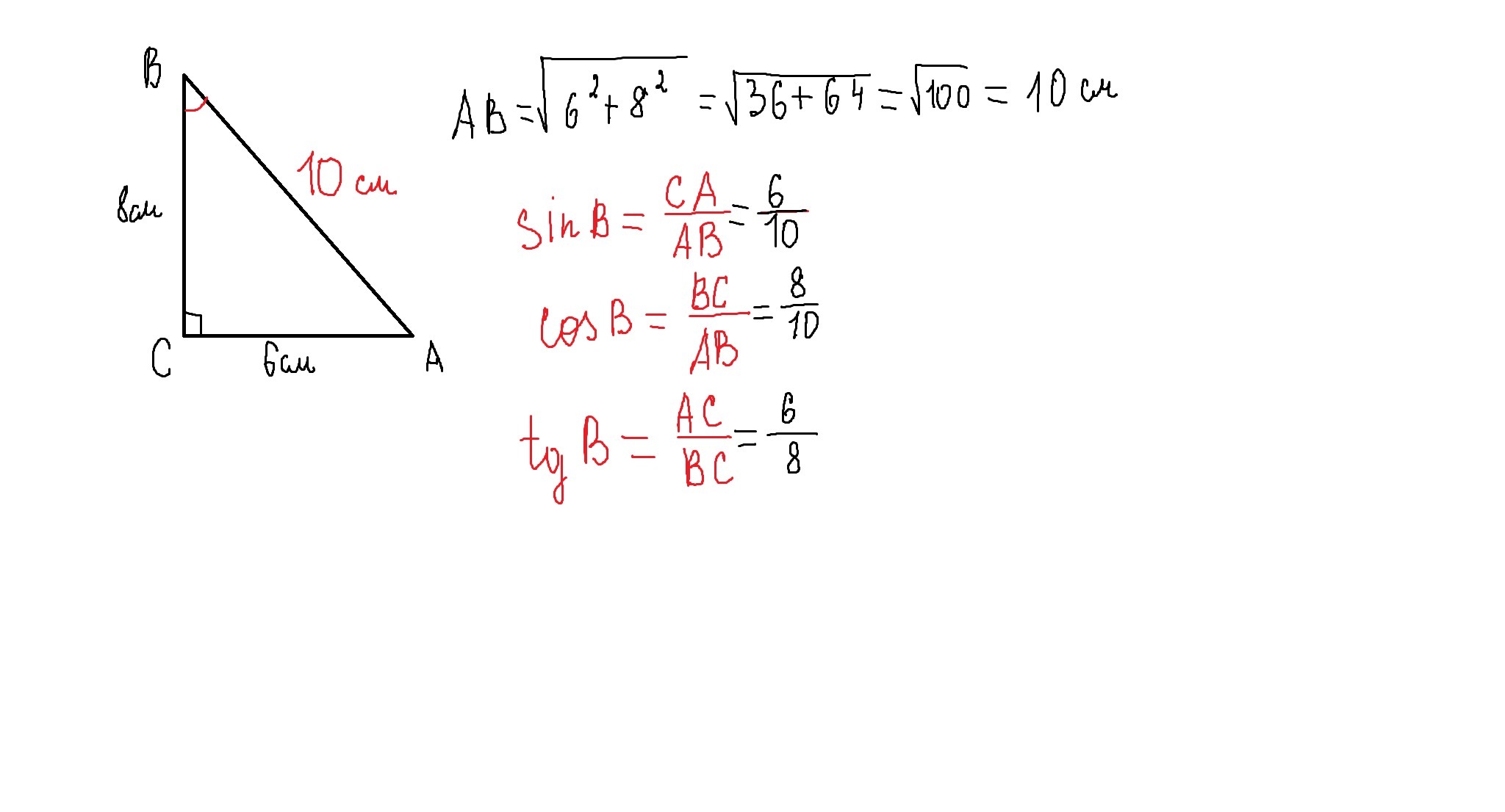
решение смотри внизу
Приложения:
Вас заинтересует