Ребят, помогите пожалуйста ♡
заранее с объяснением)))
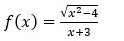
найдите область определения функции
Спасибо
Приложения:
Ответа на этот вопрос пока нет. Попробуйте найти его через форму поиска.
Вас заинтересует
2 года назад
2 года назад
3 года назад
9 лет назад
9 лет назад
10 лет назад