Помогите пожалуйста! 11 класс, математика. Задание номер 39.
Тема: сумма n первых членов арифметической прогрессии.
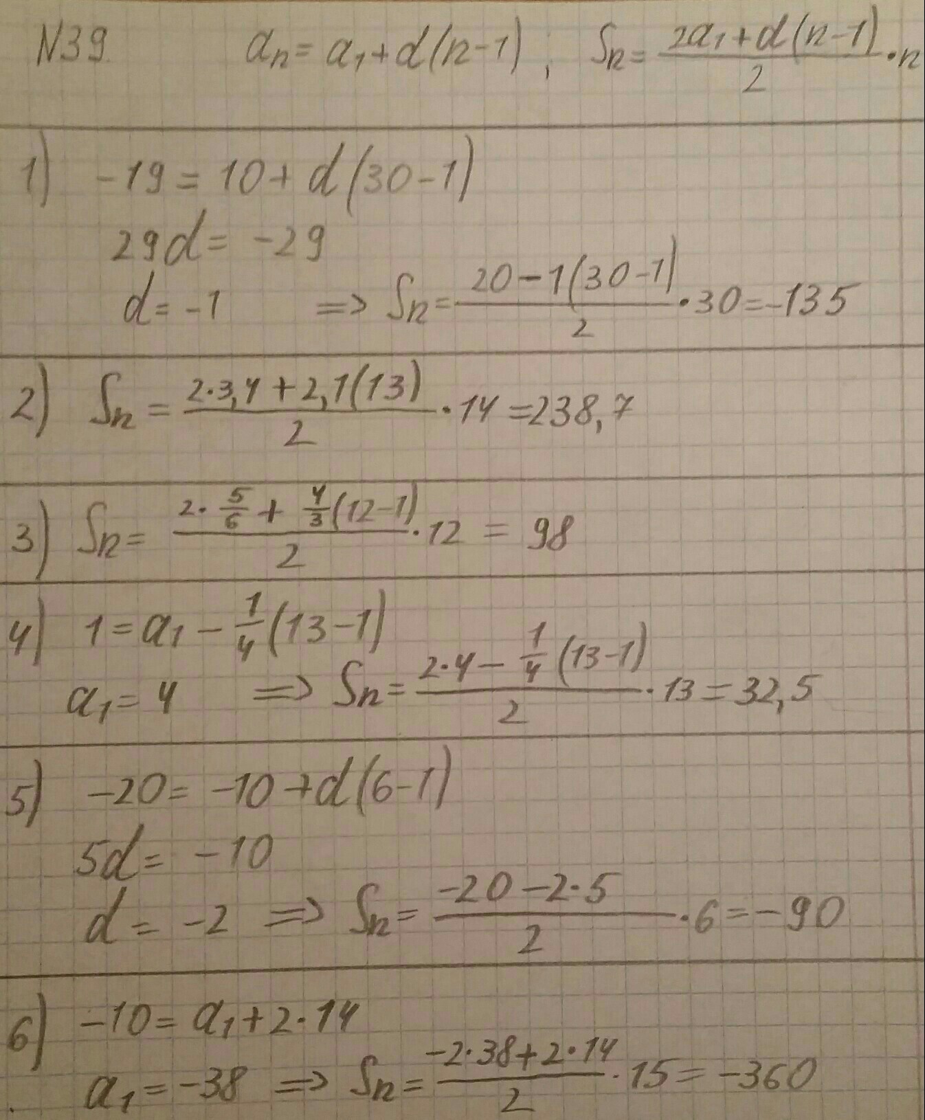
Приложения:

Ответы
Ответ дал:
0
⠀ ⠀ ⠀ ⠀ ⠀ ⠀ ⠀ ⠀ ⠀ ⠀ ⠀ ⠀ ⠀ ⠀ ⠀ ⠀
Приложения:

Вас заинтересует
2 года назад
2 года назад
3 года назад
3 года назад
9 лет назад
9 лет назад