• Предмет: Алгебра
  • Автор: loxubejtemenya
  • Вопрос задан 8 лет назад

СРОЧНО ПОМОГИТЕ РЕШИТЬ

Приложения:

Ответы

Ответ дал: Universalka
0
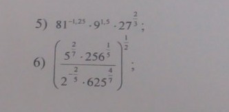
81 ^{-1,25}*9 ^{1,5}*27 ^{ frac{2}{3} } =(3 ^{4}) ^{-1,25}*( 3^{2}) ^{1,5}*( 3^{3}) ^{ frac{2}{3} } =3 ^{-5}*3 ^{3}*3 ^{2}=           =3 ^{-5+3+2}=3 ^{o}=1

( frac{5 ^{ frac{2}{7} }*256 ^{ ^{ frac{1}{5} } }  }{2 ^{- frac{2}{5} }*625 ^{ frac{4}{7} }  }) ^{ frac{1}{2} }=( frac{5 ^{ frac{2}{7} } *(2 ^{8} ) ^{ frac{1}{5} } }{2 ^{- frac{2}{5} }*(5 ^{4} ) ^{ frac{4}{7} }  }) ^{ frac{1}{2} }= = (frac{5 ^{ frac{2}{7} }*2 ^{ frac{8}{5} }  }{2 ^{- frac{2}{5} } *5 ^{ frac{16}{7} } } ) ^{ frac{1}{2} }=(2 ^{ frac{8}{5}+ frac{2}{5}  } *5 ^{ frac{2}{7}- frac{16}{7}  }) ^{ frac{1}{2} }=(2 ^{2}*5 ^{-2}) ^{ frac{1}{2} }=2*5 ^{-1}= frac{2}{5}=0,4
Ответ дал: loxubejtemenya
0
спасибо!!!
Вас заинтересует