Ответы
Ответ дал:
0
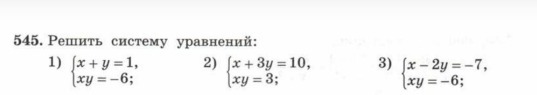
высылаю фото с решением
Приложения:

Ответ дал:
0
Правильно на 100%?
Вас заинтересует
3 года назад
3 года назад
9 лет назад
10 лет назад