Ответы
Ответ дал:
0
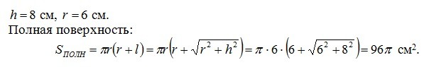
S(полн)=πr(l+r), l - образующая, r - радиус основания
Высота и радиус образуют прямоугольный треугольник, где гипотенуза является образующей.
l=√(64+36)=√100=10
S=π*6(10+6)=6π*16=96π (см²)
Высота и радиус образуют прямоугольный треугольник, где гипотенуза является образующей.
l=√(64+36)=√100=10
S=π*6(10+6)=6π*16=96π (см²)
Ответ дал:
0
Решение в приложении.
Приложения:

Вас заинтересует
2 года назад
2 года назад
3 года назад
3 года назад
9 лет назад
9 лет назад
9 лет назад