Ответы
Ответ дал:
0
Если что-то не понятно пишите в комментариях
Приложения:
Ответ дал:
0
ты про что
Ответ дал:
0
я понял
Ответ дал:
0
я незнаю и не понимаю что написоно в интернете про комплексные числа но точно знаю одно
Ответ дал:
0
квадратного корня от отрицательного числа нет
Ответ дал:
0
есть, в комплексном поле
Ответ дал:
0
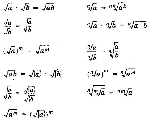
Свойства
1)
2)
3)
4)![sqrt[n]{a} = sqrt[nk]{a^{k}} sqrt[n]{a} = sqrt[nk]{a^{k}}](https://tex.z-dn.net/?f=+sqrt%5Bn%5D%7Ba%7D+%3D+sqrt%5Bnk%5D%7Ba%5E%7Bk%7D%7D+)
5)![sqrt[n]{a} * sqrt[n]{b} = sqrt[n]{ab} sqrt[n]{a} * sqrt[n]{b} = sqrt[n]{ab}](https://tex.z-dn.net/?f=+sqrt%5Bn%5D%7Ba%7D+%2A+sqrt%5Bn%5D%7Bb%7D+%3D+sqrt%5Bn%5D%7Bab%7D+)
6)
b
0
7)![sqrt[n]{sqrt[m]{a} } = sqrt[nm]{a} sqrt[n]{sqrt[m]{a} } = sqrt[nm]{a}](https://tex.z-dn.net/?f=+sqrt%5Bn%5D%7Bsqrt%5Bm%5D%7Ba%7D+%7D+%3D+sqrt%5Bnm%5D%7Ba%7D+)
8)![( sqrt[n]{a})^{m} = sqrt[n]{a^{m}} ( sqrt[n]{a})^{m} = sqrt[n]{a^{m}}](https://tex.z-dn.net/?f=%28+sqrt%5Bn%5D%7Ba%7D%29%5E%7Bm%7D+%3D+sqrt%5Bn%5D%7Ba%5E%7Bm%7D%7D+)
9)
10)
11)
1)
2)
3)
4)
5)
6)
7)
8)
9)
10)
11)
Приложения:
Вас заинтересует
2 года назад
2 года назад
3 года назад
9 лет назад
9 лет назад
10 лет назад
10 лет назад