• Предмет: Геометрия
  • Автор: TheMellow
  • Вопрос задан 9 лет назад

помогите пожалуйста.
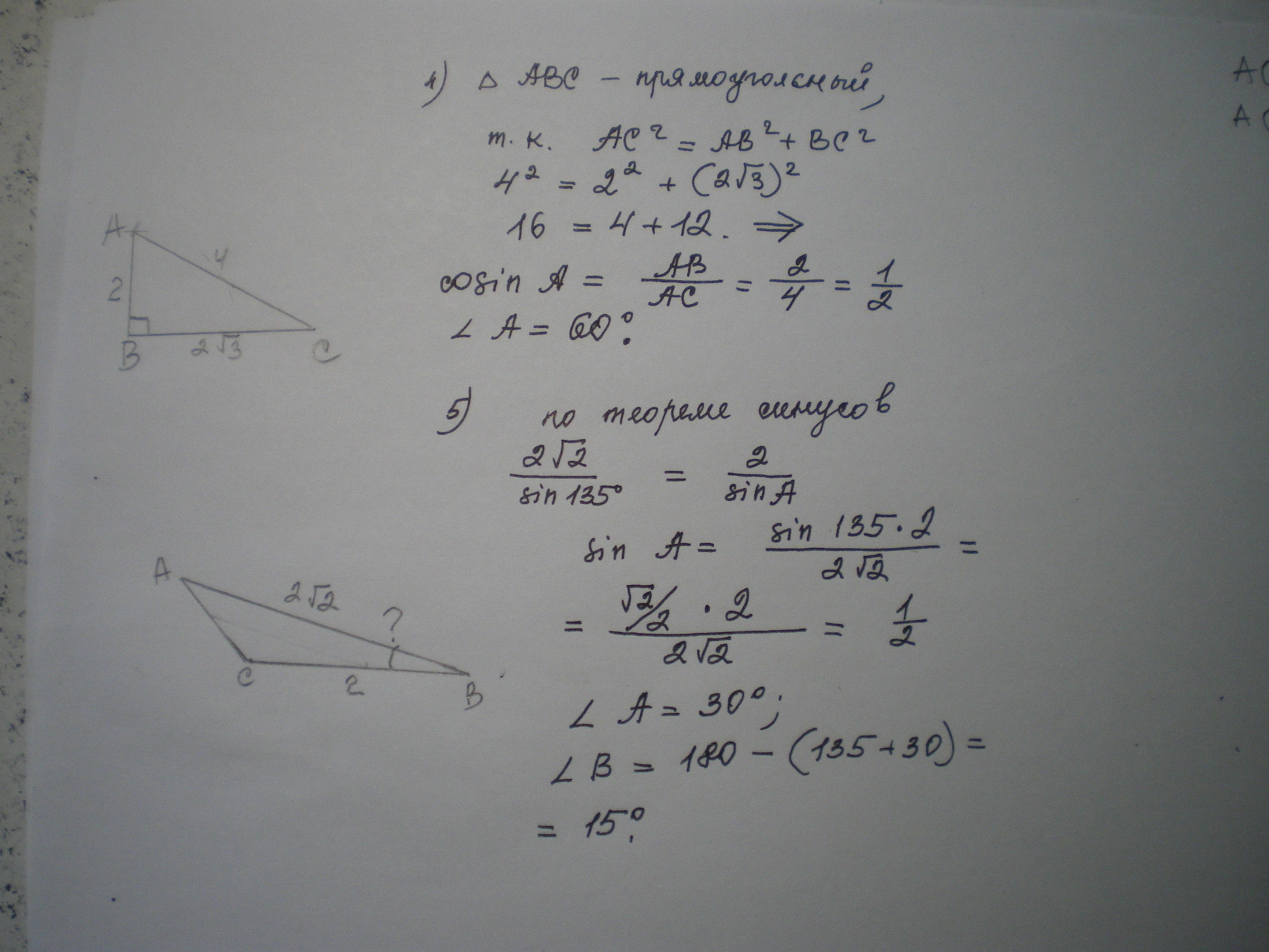
Задача №4. Найти угол A. сторона AB=2, AC=4, BC=2 корня из 3.
Задача №5. Найти угол B. сторона AB=2 корня из 2. BC=2. угол C=135 градусам

Ответы

Ответ дал: Пеппер
0
**************решение*************
Приложения:
Вас заинтересует