• Предмет: Математика
  • Автор: Sobaka8906
  • Вопрос задан 9 лет назад

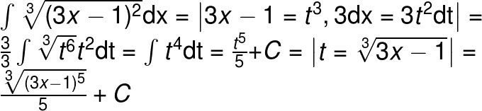
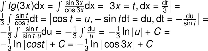
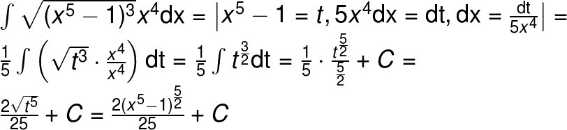
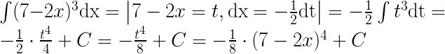
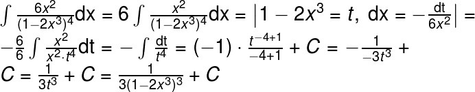
решите,поооожалуйста

Приложения:

Ответы

Ответ дал: moboqe
0
$$ huge \ int {1over (sin{2x})^2} mathrm{dx}=int {1over sin^2{(2x)}}mathrm{dx}=begin{vmatrix} 2x=t,mathrm{dx}={mathrm{dt}over2} end{vmatrix}={1over2}int {1over sin^2{t}}mathrm{dt}={1over2}cdot(-ctg ; t)+C=-{1over2}cdot ctg; (2x)+C $$
Приложения:
Вас заинтересует